Mordançage

Mordançage was developed in the 1960’s by French photographer Jean-Pierre Sudre. Historically, the process, used for photographic prints, employs copper chloride and glacial acetic acid, the former being highly toxic to aquatic life, to distress the emulsion. By developing this at-home recipe for mordançage, I wanted to demonstrate that commonly accepted techniques can be made more accessible, environmentally sustainable, and remain emotionally exigent.

A scan of the Controlled Demolition: Eco Mordançage & the Moving Image workshop held at No Name Cinema on July 15th, 2024.

The first mordançage workshop was held at the Liaison of Independent Filmmakers of Toronto (LIFT) in May 2023. This workshop covered two approaches to the mordançage process: the soda ash method and the citrus method.

Soda Ash Mordançage Recipe (2022)

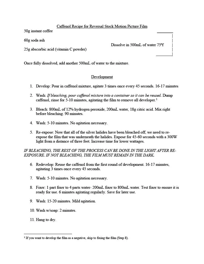
Caffenol & Bleaching Recipe (2022)

Stills from “Baby’s Big Day Out,” (2022).

Clip from the short “Baby’s Big Day Out.” In this portion, we see Baby, the cat, hiding under the porch as the emulsion wipes over his face.

Previous
Previous

DIY Positive Prints

Next
Next

Anthotype Experiments